- Research letter
- Open Access
- Clinical and Translational Allergy
Abstract
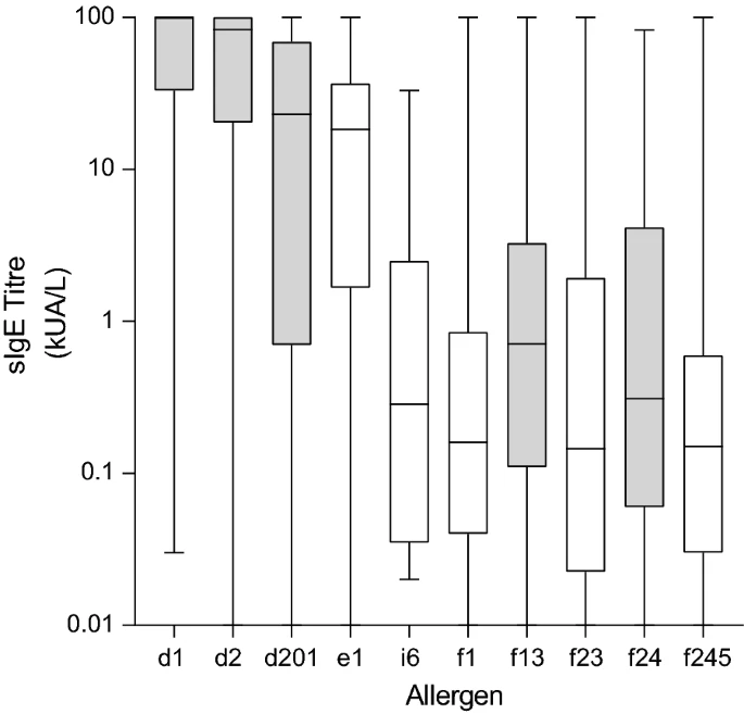
IgE sensitisation in tropical areas is under-reported. A 2 year retrospective cohort study of allergy data specific to aero and food allergens in Brunei demonstrated that specific IgE levels to house dust mite (Dermatophagoides pteronyssinus, D.farinae, Blomia tropicalis) were highest in this population and correlated with atopic dermatitis (p < 0.001). Shrimp and peanut were the most common food allergens. A dominance of house/storage mite sensitization is seen in Brunei which is consistent with other tropical countries.

No comments:
Post a Comment