Abstract
Background
Air pollution may induce or reinforce nasal inflammation regardless of allergy status. There is limited direct clinical evidence informing the treatment of airborne pollution-related rhinitis.
Objective
To assess the effectiveness of intranasal budesonide in adults with self-reported rhinitis symptoms triggered/worsened by airborne pollution.
Methods
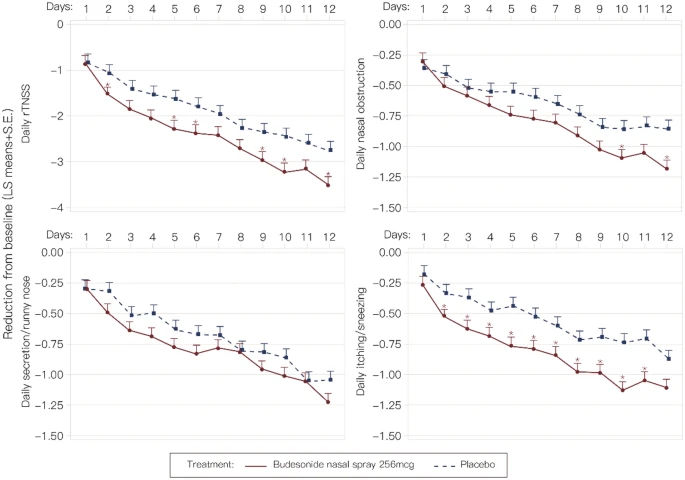
Adults in northern China with self-reported rhinitis symptoms triggered or worsened by airborne pollution were randomized to budesonide 256 µg/day or placebo for 10 days in pollution season (October 2019 to February 2020). The primary endpoint was the mean change from baseline in 24-h reflective total nasal symptom score (rTNSS) averaged over 10 days. The secondary endpoints were subject-assessed Global Impression of Change (SGIC), mean change from baseline in individual nasal symptom severity, and mean change from baseline in individual non-nasal symptoms of cough and postnasal drip severity. One-sided P < 0.0125 was considered statistically significant.
Results
After an interruption by COVID-19, an interim analysis showed that the study could be ended for efficacy with n = 206 participants (103/group) since the primary efficacy endpoint demonstrated significant results. The final efficacy results showed that the 10-day-averaged rTNSS change in the budesonide group was greater than with placebo (− 2.20 vs − 1.72, P = 0.0107). Budesonide also significantly improved 10-day-averaged itching/sneezing change (− 0.75 vs − 0.51, P = 0.0009). Results for SGIC and all other individual symptoms did not show significant differences between the two groups.Conclusions
Intranasal budesonide 256 µg once daily improved the total nasal symptoms and itching/sneezing over 10 days in adults with rhinitis triggered/worsened by airborne pollution.

No comments:
Post a Comment